新冠病毒持续变异,新冠治疗仍需要寻求更优的方案满足人民健康的需求,小分子药物是抗击新冠的优先选择。另一方面,老年患者往往合并基础疾病需同时服用多种药物,且进口药物价格高昂影响治疗可及性。因此,研发安全、价宜的国产单药治疗新冠非常重要。广州实验室来瑞特韦片(Leritrelvir,研究代号:RAY1216)正是这一背景下开发的国际上第一个单药(无需联用利托那韦)拟肽类靶向新冠病毒主蛋白酶的小分子化学药物,是具有自主知识产权的原创1类创新药,适应症为轻中度新型冠状病毒感染(COVID-19)的成年患者。
广州实验室钟南山-杨子峰团队,联合广东众生睿创生物科技有限公司、广州医科大学附属第一医院、国家呼吸系统疾病临床医学研究中心、中国科学院广州生物医药与健康研究院、国内多家大型三甲医院等多方合作单位,经过不懈的坚持和努力,全方位揭示来瑞特韦的抗病毒效果及机制、酶活抑制动力学特征与药代动力学性质的提高等亮点,至成功完成全国多中心、随机、双盲、安慰剂对照的临床III期试验研究,全链条、完整、严谨地完成了从基础至临床的科学研究。

图1. RAY1216的基础研究及临床试验文章发布
来瑞特韦在体内外的基础实验中表现与PF-07321332相当水平的抗病毒药效。来瑞特韦对SARS-CoV-2变异株均显示出良好的抗病毒活性,EC50均处于低水平的纳摩尔级别;能够有效抑制各种变异株在Vero E6细胞中的增殖复制,显著降低病毒滴度水平。在SARS-CoV-2感染的K18-hACE2转基因小鼠模型中,来瑞特韦的治疗不仅有效地提高感染小鼠的生存保护率,也显著降低了小鼠肺部的病毒载量,减缓了由病毒感染导致的体重减轻和改善了感染肺损伤病理变化的表征。研究还利用了复制子方法验证了来瑞特韦对于目前强耐药3CLpro的突变体L50F/E166V仍然保持较好的抑制作用(EC50=233±4 nM)。
在SD大鼠和ICR小鼠模型上进行了来瑞特韦的药代动力学测试,以口服灌注或注射方式且不联用利托纳韦的情况下,实验结果证明来瑞特韦具有优秀的药代动力学性质(DMPK)。来瑞特韦在体内的药物血浆暴露量高于对照药物PF-07321332,体内清除率低,代谢半衰期长。来瑞特韦优秀的DMPK表现为日后在临床上的单药使用提供了有力的科学证据。
研究在原子结构层面和化学动力学上明确了RAY1216抑制Mpro的机制。团队通过酶活抑制动力学分析测得来瑞特韦对SARS-CoV-2的主蛋白酶的抑制常数为Ki=8.4 nM,药物在靶点的停留时间至少为104分钟,远长于辉瑞Nirmatrelvir (PF-07321332)的9分钟。研究解析了RAY1216-Mpro复合物的晶体结构,确证了RAY1216的酮酰胺弹头以共价方式结合在Mpro催化位点145位的半胱氨酸上。相对于辉瑞Nirmatrelvir,RAY1216与靶点相互作用更多,抑制复合物更加稳定,使得其靶点停留时间更长,抑制更彻底。这些数据充分解释了RAY1216的抗病毒功能。

图2. 来瑞特韦在体外的抗病毒效果与药代验证及作用机制研究
上述基础研究成果以“Preclinical evaluation of the SARS-CoV-2 Mproinhibitor RAY1216 with improved pharmacokinetics compared to nirmatrelvir”为题发表在《Nature Microbiology》(IF=28.3)。论文通讯作者是钟南山院士和杨子峰教授、中国科学院广州生物医药与健康研究院熊晓犁教授等。广东众生睿创生物科技有限公司/中山大学药学院(深圳)陈小新博士、广州医科大学附属第一医院黄晓东硕士、马钦海副研究员以及美国BioKin公司的Petr Kuzmi?博士担任论文的第一作者。研究获得了广州实验室陈新文教授/陈继征教授团队、中国科学院广州健康院刘劲松教授与许永教授团队等大力的合作支持。研究的蛋白结构数据在上海光源B10U2线站获得,线站为蛋白晶体衍射数据的收集提供了大力的支持。
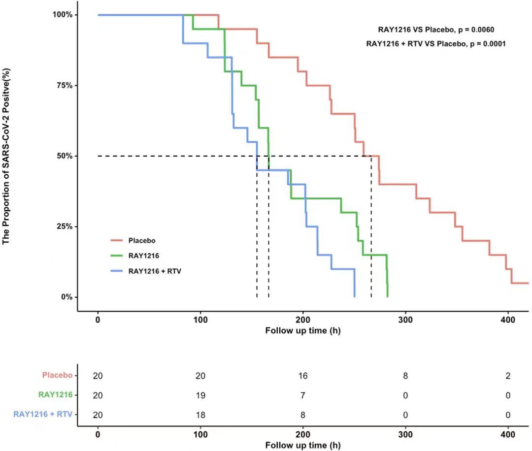
来瑞特韦Ⅱ期临床研究于2022年8月-10月在三亚中心医院开展,入组指标为实验室确诊SARS-CoV-2感染不超过120小时(5天),并且在随机分组前72小时内,病毒ORF1ab和N基因qPCR检测Ct值≤30的患者,随机接受来瑞特韦400 mg TID、来瑞特韦200 mg联合利托那韦BID或安慰剂(各20例)治疗,主要终点为病毒核酸检测转阴时间。三组人群的基线临床特征均衡,入组时的中位病毒载量为8.1 log10拷贝/mL。结果显示,来瑞特韦片单药400 mg TID组、来瑞特韦片200 mg 联合 利托那韦组核酸转阴时间较安慰剂组分别缩短4.2天(P=0.006)、4.6天(P<0.001);其他有效性指标在给药后24小时,来瑞特韦组的病毒RNA载量比安慰剂组低0.8 log10拷贝/mL (P=0.031)。此外,与基线值相比,来瑞特韦组和来瑞特韦+利托那韦组在72小时的病毒RNA载量降幅分别比安慰剂组大1.09和1.14 log10拷贝/mL (来瑞特韦单药组vs.安慰剂,P=0.0009;来瑞特韦联合 利托那韦组vs.安慰剂组,P=0.0004)。此外,来瑞特韦单药组14项新冠临床症状恢复时间表现出较安慰剂组显著缩短的趋势(247.0 小时 vs. 382.9 小时,P=0.035)。三组均未报告严重不良事件。安慰剂组、来瑞特韦组和来瑞特韦+利托那韦组治疗相关不良事件的发生率分别为20%(4/20)、0%和5%(1/20)。基于以上结果,初步证明了来瑞特韦单药组的可行性,因此选择400 mg TID作为Ⅲ期临床的给药方案。

图3. 来瑞特韦Ⅱ期临床试验病毒RNA载量变化

图4. 来瑞特韦Ⅱ期临床试验病毒核酸转阴时间
II期临床试验结果以“Antiviral efficacy of RAY1216 monotherapy and combination therapy with ritonavir in patients with COVID-19: a phase 2, single centre, randomised, double-blind, placebo-controlled trial”为题发表在柳叶刀杂志旗下的子刊《eClinicalMedicine》(IF=15.1)。通讯作者为钟南山院士、杨子峰教授和三亚中心医院(海南省第三人民医院)林玲教授,三亚中心医院(海南省第三人民医院)的王蓓主治医师担任论文的第一作者。
来瑞特韦III期临床试验研究从中国29个临床单位纳入受试者1359名。入组指标为核酸检测阳性 ≤ 120 h 并症状/体征出现 ≤48 h的轻型和中型新冠患者,随机分为来瑞特韦组(N=680)和安慰剂组(N=679)。来瑞特韦和安慰剂两组人群的基线临床特征均衡,入组时的中位病毒载量为7.5log10拷贝/mL。来瑞特韦单药治疗可显著缩短至临床持续恢复时间,尤其是病毒核酸检测阳性72小时内服药和高病毒载量的亚组人群。本研究的主要疗效指标是从第一次给药到所有11种症状持续临床恢复到第29天的时间。与安慰剂组相比,接受来瑞特韦治疗的受试者,至临床持续恢复时间有显著差异(中位数为251.02h VS 271.33h;差异:20.31h)。在亚组分析:与安慰剂组相比,来瑞特韦组的参与者也缩短了11种症状的持续恢复时间:(a)无发展为严重/危重新冠感染的危险因素(250.88h VS 270.93h,差异:20.05h);(b)72小时内病毒核酸检测(NAT)结果呈阳性(251.02h VS 284.92h,差异:33.90h);(c)基线病毒载量>8 log10拷贝/mL(262.22h VS 313.55h,差异:51.33h);(d) 完全接种疫苗(250.18h VS 290.12h,差异:39.94h)和接种加强针(261.83h VS 268.65h,差异为6.82h)。
任何一组参与者均未进展为严重/危重新冠感染、住院或死亡。与安慰剂相比,来瑞特韦在第4天降低了0.82 log10拷贝/mL的病毒载量。在第6天和第15天,来瑞特韦组SARS-CoV 2检测呈阴性的参与者比例高于安慰剂组。来瑞特韦组治疗1周后的至临床持续恢复率高于安慰剂组(142[20.88%]对107[15.76%],P=0.014),治疗2周后的至临床持续恢复率高得多(450[66.18%]对396[58.32%],P=0.0029)。进一步观察个体症状,与安慰剂相比,来瑞特韦有效缩短了持续临床恢复的时间(P<0.05),包括鼻塞或流涕、喉咙痛、头痛、发热、恶心和呕吐。来瑞特韦组由轻型进展为中型的比例明显低于安慰剂组(1/41,2.33 vs 5/57,8.77%)。另外,来瑞特韦组与安慰剂组出现任何不良事件(AE)的受试者比例相似,3级以上不良事件发生率低于安慰剂组。
综上所述,与安慰剂组相比,来瑞特韦组显著缩短受试者11项临床症状的至临床持续恢复时间,尤其是鼻塞或流涕、喉咙痛、头痛、发热、恶心和呕吐。来瑞特韦片抗病毒能力与奈玛特韦/利托那韦相当。对于基线病毒载量较高的受试者,来瑞特韦组较安慰剂组的至持续临床恢复时间缩短2.13天(51.33h)。临床症状/体征出现1天内、核酸阳性3天内入组的受试者,来瑞特韦组较安慰剂组至临床持续恢复时间缩短1.83天、1.41天,提示来瑞特韦片越早使用疗效越好。

图5. 来瑞特韦在Ⅲ期临床试验中的主要疗效及亚组分析结果统计
三期临床试验结果以 “Leritrelvir for the treatment of mild or moderate COVID-19 without co-administered ritonavir: a multicentre randomised, double-blind, placebo-controlled phase 3 trial”为题同样发表于《eClinicalMedicine》。钟南山院士、杨子峰教授、郑劲平教授为来瑞特韦Ⅲ期临床研究的总负责,是临床试验研究论文的共同通讯作者;同单位的占扬清博士/主治医师、林正诗研究员、梁靖怡博士研究生和广东省第二人民医院呼吸与危重症医学科孙瑞琳主任医师、广州医科大学附属市八医院李粤平主任医师、中山大学附属第三医院感染性疾病科林炳亮主任医师、菏泽市立医院传染科葛方启副主任医师、三亚中心医院林玲教授/主任医师、深圳市第三人民医院卢洪洲主任医师为本文共同第一作者。同时感谢以下合作机构:山东省公共卫生临床中心、南昌大学第一附属医院、镇江市第三人民医院、武汉市金银潭医院、清远市人民医院、内蒙古自治区第四医院、东莞市第九人民医院、广州医科大学附属第 三医院、东莞市人民医院、九江学院附属医院、上饶市人民医院、萍乡市人民医院、萍乡市第二人民医院、中心大学孙逸仙纪念医院、南阳市第一人民医院、南阳高等医学专科学校第一附属医院、江门市中心医院、广州胸科医院、南方医科大学南方医院、济南市中心医院、北京大学第三医院、北京大学人民医院等。
来瑞特韦的基础与临床研究获得国家重点研发计划、国家中医药多学科创新团队项目、国家自然科学基金、广东省科学技术基金、广州市科技规划项目及广州实验室攻关项目的资助支持。来瑞特韦片于2023年3月被国家药监局附条件批准上市用于轻中度新冠感染者的治疗。上市后来瑞特韦将继续进行包括器官移植新冠感染患者的治疗等真实世界研究、为其单药治疗新冠提供更多临床证据。
来瑞特韦的研发成功是新型举国体制下整合国家战略科技力量联合科技攻关创新的范例,为推动国内新药研发的进步及我国新药创新研发的竞争力提升提供了保障。
已发表论文:
1. Chen, X., et al., Preclinical evaluation of the SARS-CoV-2 Mpro inhibitor RAY1216 shows improved pharmacokinetics compared with nirmatrelvir. Nature Microbiology, 2024.
2. Wang, B., et al., Antiviral efficacy of RAY1216 monotherapy and combination therapy with ritonavir in patients with COVID-19: a phase 2, single centre, randomised, double-blind, placebo-controlled trial. EClinicalMedicine, 2023. 63: p. 102189.
3. Zhan, Y., et al., Leritrelvir for the treatment of mild or moderate COVID-19 without co-administered ritonavir: a multicentre randomised, double-blind, placebo-controlled phase 3 trial. EClinicalMedicine, 2024. 67: p. 102359.



